过刊目录

  • 全选
    |
  • 2026, 54(1): 260.
    摘要 PDF全文 ( ) 引用此文   可视化   收藏
    X

    . 封面+序言+目录+版权页[J]. 材料工程, 2026, 54(1): 260-.
    . [J]. Journal of Materials Engineering, 2026, 54(1): 260-.

  • 中子和同步辐射大科学装置在材料研究中的应用专栏
  • 中子和同步辐射大科学装置在材料研究中的应用专栏
    蒋佳乐, 康永旺, 罗军, 王智茂, 黎刚, 刘昌奎, 李楠
    摘要 PDF全文 ( ) HTML ( ) 引用此文   可视化   收藏
    X

    蒋佳乐, 康永旺, 罗军, 王智茂, 黎刚, 刘昌奎, 李楠. 基于同步辐射成像技术的金属材料凝固研究进展[J]. 材料工程, 2026, 54(1): 1-12.
    JIANG Jiale, KANG Yongwang, LUO Jun, WANG Zhimao, LI Gang, LIU Changkui, LI Nan. Research progress in metallic materials solidification based on synchrotron radiation imaging technology[J]. Journal of Materials Engineering, 2026, 54(1): 1-12.

    凝固在金属材料制备中至关重要。凝固过程直接决定了金属材料的微观组织和宏观性能。金属从液态转变为固态时,晶粒的形成和生长、凝固速度、温度梯度和合金成分等因素会导致不同的微观结构,影响金属的最终组织结构。这些因素的变化不仅决定了金属的力学性能,还可能引发诸如晶界缺陷、气孔、夹杂物等缺陷,进而影响其整体质量和使用性能。同步辐射由于具有高穿透性和高时空分辨率,能够实时观察和跟踪金属在凝固过程中的微观结构演化,从而深入理解其内在变化机理。本文综述了国内外同步辐射成像技术在金属材料凝固过程研究中的最新进展,重点探讨了该技术在晶体形核与生长、凝固缺陷形成机制以及快速凝固(焊接与增材制造)等方面的应用与研究成果。通过结合相场模拟与机器学习等新方法,研究者在晶粒细化机制、气孔与热撕裂形成规律以及快速凝固模式控制方面取得了重要进展。最后指出,提升同步辐射时间与空间分辨率、开展多尺度耦合表征、融合实验与数值模拟并引入数据驱动的智能分析方法是未来凝固过程原位研究的重要发展方向,这将为先进材料设计与工艺优化提供更坚实的理论基础与技术支撑。

  • 中子和同步辐射大科学装置在材料研究中的应用专栏
    王瀚, 张东升, 杨倩, 陈森, 李宇宵, 张兵兵, 刘伟
    摘要 PDF全文 ( ) HTML ( ) 引用此文   可视化   收藏
    X

    王瀚, 张东升, 杨倩, 陈森, 李宇宵, 张兵兵, 刘伟. 增材制造原位表征:同步辐射超快X射线成像与衍射技术应用[J]. 材料工程, 2026, 54(1): 13-29.
    WANG Han, ZHANG Dongsheng, YANG Qian, CHEN Sen, LI Yuxiao, ZHANG Bingbing, LIU Wei. In situ characterization for additive manufacturing: applications of synchrotron-based ultrafast X-ray imaging and diffraction techniques[J]. Journal of Materials Engineering, 2026, 54(1): 13-29.

    同步辐射技术作为揭示增材制造过程中多尺度物理冶金行为的“超级显微镜”,为破解增材制造“黑箱”过程提供了革命性的研究手段。本文系统综述了同步辐射在增材制造原位表征领域的应用进展:在成像方面,高时空分辨超快X射线成像技术实现了增材制造熔池、缺陷及凝固过程动态演化行为的原位观测,揭示了匙孔波动诱导气孔、马兰戈尼(Marangoni)力驱动缺陷消除等关键机理;在衍射方面,超快X射线衍射技术定量解析了增材制造快速凝固过程中的相变动力学与残余应力演变规律。进一步,本文探讨了同步辐射原位表征技术与人工智能、多物理场模拟联用的未来发展方向,并展望了其在增材制造工艺优化、缺陷智能检测及新材料开发中的应用潜力,指出该技术为推动增材制造从经验试错向机理驱动转型提供了理论基础与技术途径。

  • 中子和同步辐射大科学装置在材料研究中的应用专栏
    黄冠, 杨俊朝, 丁宗业, 黎海兵, 朱文博, 纠永涛, 路全彬, 龙伟民, 胡侨丹
    摘要 PDF全文 ( ) HTML ( ) 引用此文   可视化   收藏
    X

    黄冠, 杨俊朝, 丁宗业, 黎海兵, 朱文博, 纠永涛, 路全彬, 龙伟民, 胡侨丹. 基于同步辐射原位表征的铝/钢异质材料界面组织与缺陷演化及变形机制研究进展[J]. 材料工程, 2026, 54(1): 30-45.
    HUANG Guan, YANG Junchao, DING Zongye, LI Haibing, ZHU Wenbo, JIU Yongtao, LU Quanbin, LONG Weimin, HU Qiaodan. Research progress in interfacial microstructure,defect evolution and deformation mechanisms of Al/steel dissimilar materials based on synchrotron radiation in-situ characterization[J]. Journal of Materials Engineering, 2026, 54(1): 30-45.

    深入揭示界面组织与缺陷演化及变形机制对于调控铝/钢异质材料接头界面组织与性能具有至关重要的作用,但传统的表征手段难以有效阐明界面的动态演化机制。本文综述了同步辐射原位表征技术在解析铝/钢界面冶金反应与强韧化机制中的突破性进展。通过使用同步辐射X射线二维成像、微观断层扫描和衍射技术,实现了对铝/钢-液/固界面冶金反应过程中钢材非均质溶解、界面扩散反应与凝固行为及荷载条件下接头变形行为的原位观测,深入揭示了铝/钢界面舌状Fe2Al5、非规则FeAl3与小平面Si相的生长动力学和三维形态演变机制,重构了气孔的几何形态与空间分布特征,原位表征了构件中残余应力分布演化,阐明了荷载条件下异质构件中裂纹萌生与扩展机制。同步辐射技术突破了传统二维静态表征局限,为铝/钢界面溶解-扩散-凝固及荷载下损伤行为提供了动态实验数据。未来工作应聚焦于多场耦合或复杂极端工况下铝/钢界面冶金与力学行为的原位研究及智能原位表征平台研制。

  • 中子和同步辐射大科学装置在材料研究中的应用专栏
    张昌盛, 邓吉杰, 孙光爱, 陈杰, 李建, 刘栋, 白亮飞, 李昊, 田懿, 李鑫
    摘要 PDF全文 ( ) HTML ( ) 引用此文   可视化   收藏
    X

    张昌盛, 邓吉杰, 孙光爱, 陈杰, 李建, 刘栋, 白亮飞, 李昊, 田懿, 李鑫. 中国绵阳研究堆中子科学平台与应用新进展[J]. 材料工程, 2026, 54(1): 46-61.
    ZHANG Changsheng, DENG Jijie, SUN Guangai, CHEN Jie, LI Jian, LIU Dong, BAI Liangfei, LI Hao, TIAN Yi, LI Xin. Latest progress in neutron science platform and application of China Mianyang Research Reactor[J]. Journal of Materials Engineering, 2026, 54(1): 46-61.

    中子探针具有磁矩和深穿透能力,且对轻元素灵敏、能够鉴别同位素及近邻元素,已成为材料科学领域创新研究的重要手段。作为国家三大中子源之一,中国工程物理研究院的中国绵阳研究堆(China Mianyang Research Reactor,CMRR)于2013年率先建成首期8套科学装置并于当年投入使用,稳定运行至今已有十余年。本文重点介绍了CMRR中子平台近几年的装置技术和应用研究进展。目前平台拥有15套科学装置,相比于首期装置数量已几近翻番。基于新研建的装置,将材料静态结构最大可测尺度由原有的数百纳米拓宽至数十微米,突破实现了微观动力学能量分辨能力约3个量级的提升(由原来的亚毫电子伏特提升至百纳电子伏特)。基于平台跨尺度多参量的综合型大科学装置集群优势,CMRR已应用于金属合金、磁性材料、电池材料、含能材料、软物质等关键工程材料研究和工程部件制造等领域。在未来,依托中子科学与技术全国重点实验室,着力推动以中子科学为基础的重大原始创新和新材料、凝聚态物理等多学科前沿发展,为工程材料及部件研发面临的瓶颈科学技术问题提供新认识和创新解决方案。

  • 中子和同步辐射大科学装置在材料研究中的应用专栏
    刘乔雨, 王龙, 侯传涛, 李志强, 刘武刚
    摘要 PDF全文 ( ) HTML ( ) 引用此文   可视化   收藏
    X

    刘乔雨, 王龙, 侯传涛, 李志强, 刘武刚. 基于同步辐射CT与深度学习的C/SiC复合材料带孔试件损伤演化分析[J]. 材料工程, 2026, 54(1): 62-73.
    LIU Qiaoyu, WANG Long, HOU Chuantao, LI Zhiqiang, LIU Wugang. Damage evolution analysis of C/SiC composite specimens with holes based on synchrotron radiation CT and deep learning[J]. Journal of Materials Engineering, 2026, 54(1): 62-73.

    通过开展基于同步辐射X射线CT原位观测的力学实验,结合深度学习算法、三维数字图像有限元建模方法和数字体积相关(DVC)方法,研究单向拉伸载荷作用下中心开孔C/SiC复合材料构件的损伤演化行为,实现单向拉伸载荷作用下中心开孔C/SiC复合材料构件内部损伤纤维束裂纹、基体裂纹及分层等不同类型损伤的智能识别,建立损伤演化与应变集中之间的关系。基于深度学习的损伤识别与量化分析表明中心开孔与初始孔隙均会影响损伤萌生的位置;三维数字图像有限元分析结果揭示了初始孔隙的几何形状对裂纹损伤萌生的影响,而DVC结果展现了纤维束区域较大范围应变集中与分层损伤及最终断裂的关系。纤维束裂纹、基体裂纹及分层这三种损伤形式在一定程度上相互关联,随着载荷增加,临近的分层连通形成基体裂纹,进而可能扩展形成纤维束裂纹;在拉伸载荷下纤维束的主要破坏形式为纤维束断裂及纤维束劈裂、纤维束滑移,试件中心开孔没有改变纤维束的失效模式。

  • 综述
  • 综述
    马晓鹏, 徐雅欣, 李文亚
    摘要 PDF全文 ( ) HTML ( ) 引用此文   可视化   收藏
    X

    马晓鹏, 徐雅欣, 李文亚. 镍基高温合金惯性摩擦焊接研究进展[J]. 材料工程, 2026, 54(1): 74-89.
    MA Xiaopeng, XU Yaxin, LI Wenya. Research progress in inertia friction welding of nickel-based superalloys[J]. Journal of Materials Engineering, 2026, 54(1): 74-89.

    镍基高温合金在航空发动机高温涡轮部件上有着重要应用。而惯性摩擦焊因其固相连接属性与高的焊缝质量,在镍基高温合金盘轴连接方面应用广泛。随着新材料与新结构的出现,对惯性摩擦焊提出了更大的挑战。本文主要综述了镍基高温合金惯性摩擦焊接头焊缝成形机制、微观组织演变特征、力学性能及工艺过程数值仿真等方面的研究现状,同时,还对镍基高温合金连续驱动摩擦焊接头成形机理进行了对比总结,最后,提出了今后在相关研究中应考虑如何顺利挤出飞边、热处理工艺选择以及热处理后接头耐蚀性变差等关键问题。

  • 综述
    陆继烈, 刘安晋, 刘坤, 王玉洁, 张庆霞, 张沫, 张升
    摘要 PDF全文 ( ) HTML ( ) 引用此文   可视化   收藏
    X

    陆继烈, 刘安晋, 刘坤, 王玉洁, 张庆霞, 张沫, 张升. 增材制造钨合金及其强韧化研究进展[J]. 材料工程, 2026, 54(1): 90-102.
    LU Jilie, LIU Anjin, LIU Kun, WANG Yujie, ZHANG Qingxia, ZHANG Mo, ZHANG Sheng. Research progress in additive manufacturing of tungsten alloys and their toughening[J]. Journal of Materials Engineering, 2026, 54(1): 90-102.

    钨合金作为典型的难熔金属材料,具备高硬度、高耐磨性以及良好的射线屏蔽能力,在工业领域具有广泛的应用前景,但成形性较差,液相烧结等传统制备方式难以实现其复杂结构零部件的成形。增材制造技术采用成形平面逐层堆积的方式制备三维结构零部件,在制备复杂构件时具备独特的优势,因此在钨合金零部件制备领域引起了广泛关注。系统介绍了近年来增材制造技术在钨合金制备领域的发展和应用,并进一步探讨了钨合金成形过程中强韧化的影响因素。首先介绍了各项钨合金增材制造技术的国内外研究现状,并对其适用场景进行了总结。然后从第二相颗粒及合金化处理两方面综述了钨合金成形强韧化途径。最后,对增材制造钨合金在成分优化、工艺参数控制、后处理、多材料打印及智能制造集成等领域提高成形合金力学性能、扩展应用领域的发展方向进行了总结与展望。

  • 综述
    江宇佳, 唐宁, 胡君
    摘要 PDF全文 ( ) HTML ( ) 引用此文   可视化   收藏
    X

    江宇佳, 唐宁, 胡君. 高力学性能聚乙烯醇基物理交联凝胶材料研究进展[J]. 材料工程, 2026, 54(1): 103-113.
    JIANG Yujia, TANG Ning, HU Jun. Research progress of polyvinyl alcohol-based physical crosslinked gels featuring high mechanical properties[J]. Journal of Materials Engineering, 2026, 54(1): 103-113.

    随着人工智能、人机交互等前沿科学的兴起和快速发展,柔性凝胶材料得到广泛研究与报道。聚乙烯醇作为一种具有良好生物相容性和多功能组分适配性的低成本高分子,是凝胶骨架的理想构筑基元。本文通过调研近年来聚乙烯醇基凝胶材料的研究成果,综述了其物理交联网络的设计方法,包括冻融法、盐析法、退火法、溶剂交换法等,重点阐述了增强材料力学性能的策略。在此基础上,分析了目前制备高力学性能聚乙烯醇基凝胶面临的挑战,并对其发展方向与应用前景进行了展望。

  • 综述
    钟康迪, 赖康荣, 沙磊, 薛莲, 孙雯, 刘飞, 杨程
    摘要 PDF全文 ( ) HTML ( ) 引用此文   可视化   收藏
    X

    钟康迪, 赖康荣, 沙磊, 薛莲, 孙雯, 刘飞, 杨程. 连续纤维增强金属基复合材料成形策略及发展趋势[J]. 材料工程, 2026, 54(1): 114-126.
    ZHONG Kangdi, LAI Kangrong, SHA Lei, XUE Lian, SUN Wen, LIU Fei, YANG Cheng. Forming strategy and development trend of continuous fiber reinforced metal matrix composites[J]. Journal of Materials Engineering, 2026, 54(1): 114-126.

    连续纤维增强金属基复合材料作为高性能结构-功能一体化材料的代表,其制备技术创新与工程应用拓展始终是材料领域的核心议题。本工作主要围绕连续纤维增强金属基复合材料成形工艺进行综述,系统梳理了成形纤维金属基复合材料的传统成形技术的优劣与适用性。针对传统工艺瓶颈,探讨了3D打印技术、纤维金属预浸料制备技术等新型复合材料的高质量一体化成形方式,讨论其在成形纤维增强金属基复合材料结构件的可行性和应用趋势,以期为高质量金属基复合材料制备工艺的发展方向及工程化应用提供参考。

  • 研究论文
  • 研究论文
    区炳显, 卢立新, 陈辉, 蔡彬, 孟祥伟, 闫俊霞, 张建, 陈昱林
    摘要 PDF全文 ( ) HTML ( ) 引用此文   可视化   收藏
    X

    区炳显, 卢立新, 陈辉, 蔡彬, 孟祥伟, 闫俊霞, 张建, 陈昱林. 选区激光熔化成形石墨烯/TC11复合材料的组织与性能[J]. 材料工程, 2026, 54(1): 127-138.
    OU Bingxian, LU Lixin, CHEN Hui, CAI Bin, MENG Xiangwei, YAN Junxia, ZHANG Jian, CHEN Yulin. Microstructure and properties of graphene/TC11 composites fabricated by selective laser melting[J]. Journal of Materials Engineering, 2026, 54(1): 127-138.

    选区激光熔化(selective laser melting, SLM)作为一种增材制造技术可自由成形高复杂度金属零件。采用SLM制备了不同石墨烯纳米片(GNPs)含量的GNPs/TC11复合材料,探究了石墨烯含量对SLM成形TC11钛合金微观形貌和物理性能的影响。显微组织表征结果表明,石墨烯作为碳元素固溶到TC11基体,引发固溶强化效果,促进α相组织细化,并造成不同程度的元素偏聚,引发位错钉扎效应,阻碍形变位错滑移。物理性能测试结果表明,加入石墨烯后,GNPs/TC11复合材料显微硬度与强度提升显著,而TC11磨痕形状由“U”形转变为“W”形,磨痕尺寸与摩擦因数有所降低。当载荷为50 N时,表面粗糙度下降达43%,而当载荷上升至100 N,表面粗糙度降低幅度达14%。此外,其磨损机理在50 N载荷时由黏着磨损向磨粒磨损转变,期间鳞剥层现象减少,这表明向TC11中添加GNPs可一定程度提升TC11钛合金力学性能与耐磨性能。

  • 研究论文
    丁立红, 雷卫宁, 陈菊芳
    摘要 PDF全文 ( ) HTML ( ) 引用此文   可视化   收藏
    X

    丁立红, 雷卫宁, 陈菊芳. 激光熔覆增材制备45/316L/CuSn5梯度层的界面缺陷抑制及性能优化[J]. 材料工程, 2026, 54(1): 139-149.
    DING Lihong, LEI Weining, CHEN Jufang. Interface defect suppression and performance optimization of 45/316L/CuSn5 gradient layer prepared by laser cladding additive manufacturing[J]. Journal of Materials Engineering, 2026, 54(1): 139-149.

    针对45/CuSn5合金熔覆层界面缺陷问题,本研究提出以316L作为过渡层,激光熔覆增材制备45/316L/CuSn5梯度层的界面缺陷抑制及性能优化方法。通过系统对比45/CuSn5单一熔覆层与45/316L/CuSn5梯度熔覆层的界面微观形貌和元素分布,揭示316L过渡层的调控机制,并对基体和梯度熔覆层的性能进行对比研究。结果表明:梯度熔覆层因316L过渡层的引入,形成无缺陷的冶金结合界面,界面发生了明显的元素互扩散,其Cr元素高浓度梯度有效降低了界面能,抑制了裂纹的产生;Cu元素向316L的扩散促进了Cu-Ni固溶体的形成,而316L向CuSn5表面熔覆层过渡,实现了从奥氏体(γ-Fe)向α-Cu固溶体过渡,这种晶体结构的过渡有效抑制了界面脆性相的生成,从而实现了界面的缺陷抑制。摩擦磨损实验中,在载荷为20 N、往复直线运动30 min的干摩擦条件下,梯度熔覆层的平均摩擦因数为0.1486,较基体(0.4080)显著降低;磨损率为1.723 mm3·N-1·m-1,较基体(2.469 mm3·N-1·m-1)降低30.21%,实现了基体的耐磨性能优化。电化学腐蚀测试进一步表明,在3.5%NaCl溶液中,梯度熔覆层的腐蚀电流密度(3.105×10-6 A·cm-2)较基体(4.839×10-5 A·cm-2)降低了一个数量级,腐蚀速率减缓93.58%,耐腐蚀性能显著增强。

  • 研究论文
    胡宝森, 杨彦红, 张波, 张雪, 梁静静, 李金国, 周亦胄
    摘要 PDF全文 ( ) HTML ( ) 引用此文   可视化   收藏
    X

    胡宝森, 杨彦红, 张波, 张雪, 梁静静, 李金国, 周亦胄. 热处理对一种新型选区激光熔化镍基高温合金组织与性能的影响[J]. 材料工程, 2026, 54(1): 150-160.
    HU Baosen, YANG Yanhong, ZHANG Bo, ZHANG Xue, LIANG Jingjing, LI Jinguo, ZHOU Yizhou. Influence of heat treatment on organization and properties of a novel selective zone laser melting nickel-based high-temperature alloy[J]. Journal of Materials Engineering, 2026, 54(1): 150-160.

    以增材制造镍基高温合金ZGH451 为研究对象开展不同工艺的热处理实验,利用分析显微组织与力学性能的手段,优化出适用于该合金的一种增材制造镍基高温合金专用的短时高温固溶 + 双级时效热处理制度。结果表明,最佳的热处理工艺为:1250 ℃/15 min(空冷)+1100 ℃/4 h(空冷)+850 ℃/24 h(空冷)。经过完全热处理后,消除了合金内的元素偏析,获得尺寸(436 nm)、面积分数(63.74%)及立方度均较好的γ'相微观组织,并且在760 ℃条件下拉伸的性能显著提升,抗拉强度为1142 MPa,伸长率为22.8%。

  • 研究论文
    邹勇, 廖小刚, 余姿, 李纲, 田甜
    摘要 PDF全文 ( ) HTML ( ) 引用此文   可视化   收藏
    X

    邹勇, 廖小刚, 余姿, 李纲, 田甜. 钛钽合金表面改性处理及其体外成骨生物活性[J]. 材料工程, 2026, 54(1): 161-167.
    ZOU Yong, LIAO Xiaogang, YU Zi, LI Gang, TIAN Tian. Surface modification of TiTa alloy and its in vitro osteogenic biological activity[J]. Journal of Materials Engineering, 2026, 54(1): 161-167.

    对生物医用金属材料进行改性处理是提高其表面成骨生物活性的有效方法,可缩短其在植入人体后与骨组织间形成牢固化学键合的时间,这对保障患者术后的快速康复具有重要意义。采用氢氧化钠(NaOH)碱热耦合预钙化的改性方法对生物医用钛钽合金(Ti∶Ta = 43∶57,质量比)进行表面处理,并借助模拟体液(simulated body fluid,SBF)浸泡实验对改性合金样品的体外成骨活性进行评价。结果表明:TiTa合金经碱热处理后于SBF中浸泡18天未能诱导类骨磷灰石层生成,而经碱热-预钙化两步法处理的TiTa合金,在SBF中浸泡仅3天表面即可被致密的球簇状羟基磷灰石(hydroxyapatite,HA)涂层完全覆盖,显示出优异的成骨生物活性。NaOH碱热耦合预钙化处理大幅提高TiTa合金表面成骨生物活性的原因在于:TiTa合金经碱热处理后,静态水接触角由(54.9±2.1)°降至(11.2±2.4)°,形成有利于SBF吸附和铺展的多孔、粗糙及超亲水的表面结构,而预钙化处理则进一步在其表面引入钙磷化合物的初始晶核,在随后的浸泡培养中可诱导SBF中的钙、磷酸根等离子以沉淀快速析出并生长为羟基磷灰石。

  • 研究论文
    郭杰杰, 李华鑫, 蔡良益, 朱帅, 闾川阳, 贺艳明, 杨建国
    摘要 PDF全文 ( ) HTML ( ) 引用此文   可视化   收藏
    X

    郭杰杰, 李华鑫, 蔡良益, 朱帅, 闾川阳, 贺艳明, 杨建国. 采用BNi82CrSiB-xCu钎料钎焊304不锈钢接头的微观组织与力学性能[J]. 材料工程, 2026, 54(1): 168-177.
    GUO Jiejie, LI Huaxin, CAI Liangyi, ZHU Shuai, LYU Chuanyang, HE Yanming, YANG Jianguo. Microstructure and mechanical properties of 304 stainless steel joints brazed by using BNi82CrSiB-xCu filler metals[J]. Journal of Materials Engineering, 2026, 54(1): 168-177.

    为克服常规镍基钎料钎焊不锈钢接头易形成脆性硼化物的缺点,进一步提升接头的力学性能,本工作提出了在BNi-2镍基钎料中引入少量Cu的方法,以抑制接头中脆性硼化物的形成。分别采用BNi-2钎料和Cu改性的BNi-2钎料对304不锈钢进行真空钎焊,研究了保温时间、钎焊温度与BNi-2钎料中Cu含量对钎缝组织及力学性能的影响。结果表明,对于BNi-2钎料,随着保温时间的延长和钎焊温度的升高,钎缝中心的硼化物含量减少,但母材中的沿晶扩散硼化物增加,扩散距离也随之延长。添加质量分数1%Cu的BNi-2钎料接头,成功抑制了钎缝中心硼化物的生成,接头剪切强度为(713.9±16.4) MPa,相比BNi-2钎料接头提高了19%,接头断裂在母材/钎缝界面,断裂方式为韧性断裂。添加质量分数5%Cu的BNi-2钎料接头,钎缝中心重新析出硼化物,接头剪切强度下降,同时呈现韧性断裂与脆性断裂结合的断裂方式。

  • 研究论文
    孙建, 谷文举, 张丽炜, 姚秀聪, 耿燕飞, 陈希章
    摘要 PDF全文 ( ) HTML ( ) 引用此文   可视化   收藏
    X

    孙建, 谷文举, 张丽炜, 姚秀聪, 耿燕飞, 陈希章. 等离子弧焊接热处理对1J85坡莫合金焊接接头微观组织及磁性能的影响[J]. 材料工程, 2026, 54(1): 178-186.
    SUN Jian, GU Wenju, ZHANG Liwei, YAO Xiucong, GENG Yanfei, CHEN Xizhang. Influence of plasma arc welding heat treatment on microstructure and magnetic properties of 1J85 permalloy welded joints[J]. Journal of Materials Engineering, 2026, 54(1): 178-186.

    针对1J85坡莫合金焊接过程中磁性能恶化的问题,采用等离子弧直焊(plasma arc welding,PAW)和等离子弧焊接热处理(plasma arc heat treatment welding,PAHTW)两种工艺对1.5 mm厚环形1J85坡莫合金开展对比实验,系统探究两种工艺对焊接接头微观组织和磁性能的影响。采用光学显微镜、扫描电镜、能谱分析及软磁性能测试等手段对比分析接头的微观组织、元素分布、磁导率及矫顽力。结果表明:PAW工艺下,焊缝接头的形貌呈上宽下窄的漏斗状结构;PAHTW 工艺下,焊缝区形成多层次区域分界,晶粒显著长大,胞状亚晶数量减少,晶界密度降低。能谱分析显示,焊缝区非磁性元素 Si 的含量较 PAW 工艺减少约50%。与 PAW 工艺相比,PAHTW 处理后接头的初始磁导率从 40.12 mH/m 提升至 78.81 mH/m,最大磁导率从 72.63 mH/m 提升至 113.41 mH/m,矫顽力从 1.70 A/m 降低至 1.24 A/m。

  • 研究论文
    王叶, 卢磊
    摘要 PDF全文 ( ) HTML ( ) 引用此文   可视化   收藏
    X

    王叶, 卢磊. 不同孪晶含量Mg-3Al-1Zn合金的变形行为[J]. 材料工程, 2026, 54(1): 187-192.
    WANG Ye, LU Lei. Deformation behavior of Mg-3Al-1Zn alloy with different twin contents[J]. Journal of Materials Engineering, 2026, 54(1): 187-192.

    采用同步辐射X射线原位成像与衍射技术研究了不同孪晶含量的Mg-3Al-1Zn合金在单轴压缩下的变形行为。实验选取原始镁合金及其经应变4.3%和9.4%预压缩得到的具有不同孪晶含量的预制孪晶镁合金作为研究对象,在相同的实验条件下开展单轴压缩实验,加载过程中同时得到宏观尺度应力-应变曲线、细观尺度变形图像和微观尺度X射线衍射图谱。分别对X射线成像图像和X射线衍射图谱进行数字图像相关和积分处理,获得变形场和孪晶变形特征。结果表明,单轴压缩加载下原始镁合金中形成大量的{1012}孪晶,而预制孪晶镁合金样品产生了大量的{1012}-{1012}双孪晶,{1012}孪晶和{1012}-{1012}双孪晶均可以通过减缓应变集中过程促使应变硬化率增加。相较于4.3%预压缩试样,9.4%预压缩试样中形成的{1012}-{1012}双孪晶更多,减缓应变集中的效率更高,使得塑性变形过程中应变硬化率及其增幅均处于较高水平。

  • 研究论文
    王校益, 徐志彪, 陆浩文, 曾心怡, 谢森, 吴昊, 李卫
    摘要 PDF全文 ( ) HTML ( ) 引用此文   可视化   收藏
    X

    王校益, 徐志彪, 陆浩文, 曾心怡, 谢森, 吴昊, 李卫. 织构化Ti-6Al-4V合金表面热氧化膜的制备及其摩擦学性能[J]. 材料工程, 2026, 54(1): 193-202.
    WANG Xiaoyi, XU Zhibiao, LU Haowen, ZENG Xinyi, XIE Sen, WU Hao, LI Wei. column:Preparation and tribological properties of textured Ti-6Al-4V alloy surface thermal oxide film[J]. Journal of Materials Engineering, 2026, 54(1): 193-202.

    采用激光加工技术在Ti-6Al-4V合金表面织构沟槽型微结构,利用热氧化技术在织构试样表面制备氧化膜。通过摩擦磨损实验,研究Ti-6Al-4V合金经不同表面技术处理后在室温干摩擦工况下的摩擦学性能。利用扫描电子显微镜(SEM)、电子能谱仪(EDS)、三维测量显微镜、显微维氏硬度仪等分析试样磨损实验前的表面形貌、截面形貌、元素分布、表面显微硬度以及磨损后的微观形貌、磨痕三维形貌等,揭示激光织构复合热氧化处理相较于单一激光织构或热氧化处理的优势以及减摩、抗磨作用机理。结果表明:激光织构复合热氧化试样相较于另两种单一处理试样的摩擦因数波动较小且稳定,当法向载荷为3 N时,与单一激光织构试样和单一热氧化试样相比磨损率分别下降66%,68%。当法向载荷增大到10 N时,与单一激光织构试样和热氧化试样相比磨损率分别下降27%,38%。激光织构复合热氧化试样表面磨粒磨损现象消失,黏着磨损现象降低,可兼具单一激光织构试样捕获磨屑的能力和单一热氧化试样优异的承载能力,对基体形成多重保护机制,很好地提升干摩擦工况下Ti-6Al-4V合金表面的摩擦学性能。

  • 研究论文
    李京京, 鞠江, 张震, 罗逸飞, 王朦朦, 周阳, 王俊, 梁加淼
    摘要 PDF全文 ( ) HTML ( ) 引用此文   可视化   收藏
    X

    李京京, 鞠江, 张震, 罗逸飞, 王朦朦, 周阳, 王俊, 梁加淼. 时效时间与温度对SiC/Al-Zn-Mg-Cu纳米复合材料显微组织与硬度的影响[J]. 材料工程, 2026, 54(1): 203-210.
    LI Jingjing, JU Jiang, ZHANG Zhen, LUO Yifei, WANG Mengmeng, ZHOU Yang, WANG Jun, LIANG Jiamiao. Effect of aging time and temperature on microstructure and microhardness of nano-SiC/Al-Zn-Mg-Cu composites[J]. Journal of Materials Engineering, 2026, 54(1): 203-210.

    采用高能球磨结合放电等离子烧结和热挤压的方法制备SiC/Al-Zn-Mg-Cu纳米复合材料,通过示差扫描量热法、同步辐射X射线衍射、透射电子显微镜分析和显微硬度测试,研究了纳米复合材料的析出硬化特性、时效析出行为及显微硬度变化。结果表明:添加纳米SiC颗粒后,η′相和η相的热扩散激活能提高,纳米SiC颗粒抑制了复合材料中析出相的长大。纳米SiC颗粒的加入,促使复合材料组织中η'相数量增多,晶界析出的η相更加细小、均匀,析出强化效果更为显著。随着时效时间的增加,晶内η'相密度增大,尺寸增加,并且逐渐向η相转变,同时晶界析出的η相发生粗化。增加时效温度可促使复合材料体系自由能升高,提高了溶质原子的扩散速度,促进η'相和η相的长大以及η'相向η相的转变。添加3%(体积分数)纳米SiC后,复合材料显微硬度提高了50%左右,且随着时效温度从100 ℃升高到140 ℃,峰时效时间从64 h减少到16 h,但时效温度变化对峰时效的硬度值影响不大。

  • 研究论文
    王海旭, 高兆兵, 林瑞丰, 王立军
    摘要 PDF全文 ( ) HTML ( ) 引用此文   可视化   收藏
    X

    王海旭, 高兆兵, 林瑞丰, 王立军. 热处理工艺对30Cr15NiMo马氏体不锈钢组织与性能的影响[J]. 材料工程, 2026, 54(1): 211-217.
    WANG Haixu, GAO Zhaobing, LIN Ruifeng, WANG Lijun. Effects of heat treatment technology on microstructures and properties of 30Cr15NiMo martensitic stainless steel[J]. Journal of Materials Engineering, 2026, 54(1): 211-217.

    淬火-配分(Q&P)工艺是提高马氏体不锈钢强塑性配合的有效方法,但难以精准控制不完全淬火中止温度和配分时马氏体内碳化物大量析出是现有商业化钢种实施的两大障碍。本工作设计制备了一种中碳马氏体不锈钢(30Cr15NiMo钢),通过对热处理试样进行组织表征和力学性能测试,研究了Q&P工艺参数对显微组织演变的影响并分析了强韧化机理。结果表明:实验钢完全奥氏体化状态下的马氏体转变开始(M s)温度约为200 ℃,其室温组织为马氏体+残留奥氏体的复相组织。热轧态实验钢经过480 ℃回火辅助配分处理后表现出优异的综合性能:屈服强度为1255 MPa,抗拉强度为1631 MPa,伸长率为18.5%,断面收缩率为42%;此时组织中含有20.2%左右的残留奥氏体,马氏体中有少量渗碳体析出,两种因素共同作用提高了均匀变形和非均匀变形能力。研究结果为进一步优化成分和工艺提供了依据。

  • 研究论文
    兰俊伟, 魏永金, 余煜玺, 黄柳英, 罗忠, 叶大海, 付仲议
    摘要 PDF全文 ( ) HTML ( ) 引用此文   可视化   收藏
    X

    兰俊伟, 魏永金, 余煜玺, 黄柳英, 罗忠, 叶大海, 付仲议. 2D C/SiC复合材料高温拉伸蠕变损伤原位观察及断裂机理[J]. 材料工程, 2026, 54(1): 218-227.
    LAN Junwei, WEI Yongjin, YU Yuxi, HUANG Liuying, LUO Zhong, YE Dahai, FU Zhongyi. In situ observation of high temperature tensile creep damage and fracture mechanism of 2D C/SiC composites[J]. Journal of Materials Engineering, 2026, 54(1): 218-227.

    通过自主搭建的高温拉伸蠕变试验机和裂纹扩展原位观察系统观察了2D C/SiC复合材料拉伸蠕变作用下的裂纹扩展过程,评估了2D C/SiC复合材料的切口敏感性,并利用扫描电子显微镜观察试样断口形貌,研究与分析了2D C/SiC复合材料在拉伸蠕变作用下的失效模式和断裂机理。实验结果表明,无切口的2D C/SiC复合材料在1000 ℃/50 MPa条件下,蠕变断裂时间均大于8000 s,稳态蠕变速率为5.11×10-8~1.36×10-7 s-1,切口的存在使得稳态蠕变阶段明显缩短,蠕变时间缩短了约2000 s,稳态蠕变速率增大至2.0×10-7 s-1。2D C/SiC复合材料在1000 ℃/50 MPa条件下的拉伸蠕变曲线主要包括减速蠕变、稳态蠕变两个阶段。裂纹扩展主要集中在稳态蠕变阶段后期,碳纤维在高温环境中会迅速发生氧化反应,微裂纹在基体萌发。当试样内部微裂纹饱和后会产生宏观裂纹,宏观裂纹连接材料内部孔隙,形成一条连贯的扩展路径,导致裂纹的迅速扩展,裂纹扩展受纤维的阻挡导致裂纹发生多次偏转,蠕变试样宏观断口呈锯齿状,且有大量纤维拔出。

  • 研究论文
    贾茜霖, 李明天, 李洁白, 关光光, 周杨韬
    摘要 PDF全文 ( ) HTML ( ) 引用此文   可视化   收藏
    X

    贾茜霖, 李明天, 李洁白, 关光光, 周杨韬. 分子量可控再生纤维素纳米晶体在Pickering乳液中的应用[J]. 材料工程, 2026, 54(1): 228-240.
    JIA Xilin, LI Mingtian, LI Jiebai, GUAN Guangguang, ZHOU Yangtao. Molecular weight-controllable regenerated cellulose nanocrystal for Pickering emulsion application[J]. Journal of Materials Engineering, 2026, 54(1): 228-240.

    以NaOH/尿素/水体系为溶剂,无水乙醇为反溶剂,采用多步沉淀法制备了一系列分子量可控、尺寸逐渐减小且趋于稳定的再生纤维素纳米晶(regenerated cellulose nanocrystal,RCNC)。高效液相色谱及TEM结果表明,随着所得RCNC分子量的降低(36 kD降至9 kDa),其尺寸逐渐减小。Pickering乳液稳定性测试表明,制取的RCNC具有优异的乳化性能。其中,平均分子量为15 kDa的RCNC-15具有最优乳化性能:相对最小的乳液液滴尺寸和低含量时的相对最佳乳液稳定性。以乳化性能最优的RCNC为载体,在其上原位生长氧化锌纳米颗粒后进行乳液辅助光降解尼罗红测试,100 min降解率达99.5%,表明所获得的RCNC可作为高效乳液辅助反应载体。

  • 研究论文
    周美盼, 魏智强, 李羚, 丁梅杰, 赵继威
    摘要 PDF全文 ( ) HTML ( ) 引用此文   可视化   收藏
    X

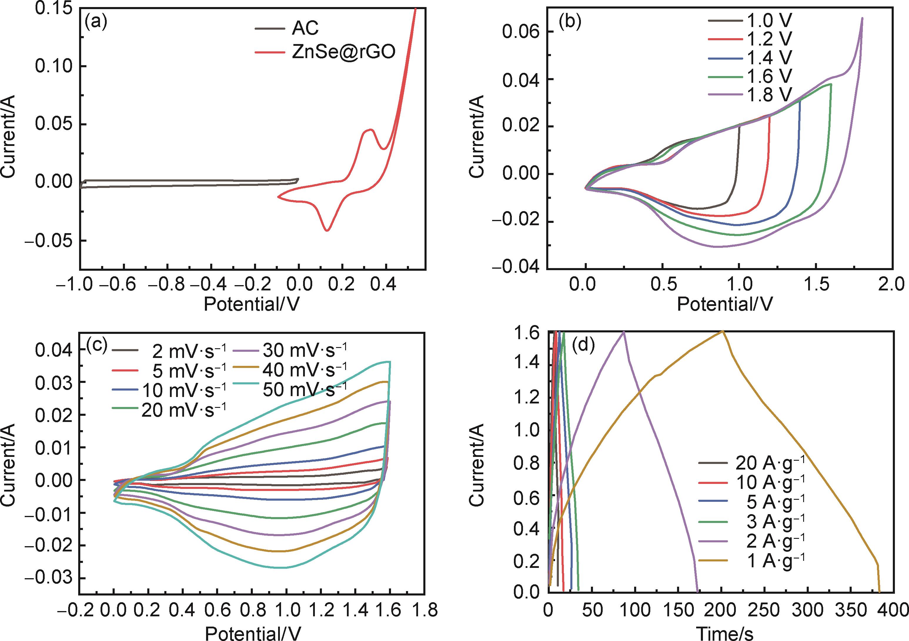
    周美盼, 魏智强, 李羚, 丁梅杰, 赵继威. 金属有机骨架衍生ZnSe@rGO纳米复合材料在超级电容器的应用[J]. 材料工程, 2026, 54(1): 241-249.
    ZHOU Meipan, WEI Zhiqiang, LI Ling, DING Meijie, ZHAO Jiwei. Metal-organic framework derived ZnSe@rGO nanocomposites and their application in supercapacitors[J]. Journal of Materials Engineering, 2026, 54(1): 241-249.

    超级电容器作为一种介于传统电容器与二次电池之间的新型储能装置,具有广阔的应用前景。本工作用Hummers法制备氧化石墨烯(GO),原位生长正十二面体结构的ZIF-8,再用CVD法成功制备纳米复合材料ZnSe@rGO。SEM照片显示,ZnSe@rGO纳米复合材料为正十二面体结构,ZnSe沿着一层纱似的rGO表面生长,且结晶性能良好。BET测试表明,ZnSe@rGO的比表面积为57.36 m2·g-1,相比较ZIF-8@GO具有更大的比表面积。对样品进行电化学性能测试,结果表明,在3 mol·L-1 KOH溶液中,ZnSe@rGO纳米复合材料在电流密度为1 A·g-1下的比电容高达971.4 F·g-1,说明该材料具有良好的赝电容行为,并且在2 A·g-1的电流密度下,循环5000次后仍具有74.49%的电容保持率以及接近100%的库仑效率,具有良好的循环稳定性。组装成非对称电容器ZnSe@rGO∥AC,电流密度为1.0 A·g-1时,比电容为112.5 F·g-1;功率密度为2057.1 W·kg-1时,能量密度为40.0 Wh·kg-1,为非对称超级电容器提供了良好的候选材料。

  • 研究论文
    史转转, 刘亮, 马祖强, 李运芃, 缪文婷, 付晓坤, 吴小帅
    摘要 PDF全文 ( ) HTML ( ) 引用此文   可视化   收藏
    X

    史转转, 刘亮, 马祖强, 李运芃, 缪文婷, 付晓坤, 吴小帅. 钴镍/氮掺杂碳纳米球的界面调控及其对检测氯霉素的电化学传感性能[J]. 材料工程, 2026, 54(1): 250-259.
    SHI Zhuanzhuan, LIU Liang, MA Zuqiang, LI Yunpeng, MIAO Wenting, FU Xiaokun, WU Xiaoshuai. Interfacial regulation of cobalt-nickel/nitrogen-doped carbon nanospheres and its electrochemical sensing performance for detection of chloramphenicol[J]. Journal of Materials Engineering, 2026, 54(1): 250-259.

    氯霉素(CAP)作为一种抗生素,在水产养殖业中被广泛用作兽药。CAP的滥用会导致一系列环境和人类健康问题,因此建立一种快速高灵敏检测CAP的方法极为重要。电化学传感器由于具有操作简单、反应迅速、灵敏度高、易于小型化等优点而受到研究者的广泛关注,但其性能主要取决于传感材料。本工作以细菌为模板,在细菌表面原位合成了钴镍金属有机框架(CoNi-MOF),通过界面调控在900 ℃碳化后得到具有丰富活性位点和大比表面积的CoNi氮掺杂碳纳米球(CoNi/CN-900),且其表面分布均匀的Ni、Co为CAP提供了更多的催化活性位点。基于CoNi/CN-900构建的CAP电化学传感器在20 nmol/L~4 μmol/L和4~38 μmol/L范围内显示出良好的线性响应,检出限低至6.6 nmol/L,灵敏度高达8.75 μA·μmol·L-1·cm-2。相比于已报道的同类型传感器,该传感器具有较高的灵敏度和较低的检出限。此外,该传感器的选择性好、稳定性高,室温保存35天仍能保持初始电流的99.1%以上。

我要投稿

创刊于1956年,月刊

ISSN:1001-4381

   CN:11-1800/TB

 主管:中国航空发动机

          集团有限公司

 主办:中国航发北京航

          空材料研究院

热点专刊

虚拟专题